Professor Zhao Bin from the School of Materials Science and Engineering of TU has recently published significant research in the prestigious CAS Q1 TOP journal ACS Macro Letters. The paper, titled “Laves Phases Emerge in Neat AB-Type Block Copolymer as Hybrid Spherical Phases,” reports the first theoretical prediction that complex Laves phase spherical structures can form stably in simple AB-type block copolymers, revealing a new pathway for polymer self-assembly.

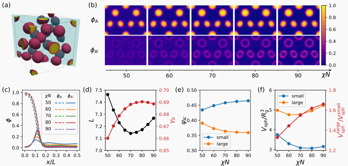
Block copolymers are key materials for designing nanostructures because they can spontaneously organize into various periodic patterns at tiny scales. However, the types of spherical structures formed were thought to be limited to relatively simple arrangements like BCC or FCC lattices. While more complex Laves phases are known in colloids or metal alloys, their stability and existence in pure polymer systems weren’t well understood.
Using advanced computational methods combining self-consistent field theory (SCFT) and machine learning, Professor Zhao and his colleagues meticulously mapped the phase behavior of AB-type block copolymers over a wide range of conditions. Their simulations revealed that under specific volume fractions and interaction strengths, the system naturally forms a stable, hybrid spherical structure belonging to the Laves phase family (specifically C14 and C15 types). Crucially, this complex structure forms spontaneously—without needing external forces or additional components—driven purely by the polymer chains’ geometry and their inherent tendency to segregate.
The researchers described this Laves phase as a novel “hybrid” structure due to its combination of different inherent curvatures. They proposed an “ ‘intramolecular blending’ self-assembly mechanism” to explain its formation.
This discovery has challenged long-held views on the possible spherical structures in block copolymers and provided a crucial theoretical foundation for experiments aiming to create such complex and hybrid nanostructures. Reviewers lauded the work’s “elegance and foresight,” stating it “significantly advances our fundamental understanding of how complex structures form in soft matter like block copolymers.”
Authorship and Funding:
First Author: Zhao Bin (TU—primary affiliation)
Collaborators: Wang Chao (TU); Li Weihua (Director, State Key Laboratory of Molecular Engineering of Polymers & Dept. of Macromolecular Science, Fudan University; NSFC Distinguished Young Scholar)
Corresponding Author: Dr. Qiang Yicheng (Max Planck Institute for Dynamics and Self-Organization, Germany)
This research was supported by grants from the National Natural Science Foundation of China (Youth Program and Key Program) and the Open Fund of the State Key Laboratory of Molecular Engineering of Polymers at Fudan University.
Paper Link:
https://doi.org/10.1021/acsmacrolett.5c00084